QOJ.ac

QOJ

Time Limit: 1 s Memory Limit: 64 MB Total points: 100

#583. Fire Extinguishers

Statistics

Byteasar has had a new palace built. It consists of $n$ chambers and $n-1$ corridors connecting them. Each corridor connects exactly two chambers. The rooms are numbered from $1$ to $n$. There is only a single entrance to the palace, which leads to chamber no. 1. For each chamber there is exactly one route leading to it from the entrance, without turning back on the way. In other words, the chambers and the corridors form a tree - a connected acyclic graph.

The fire marshal who is to approve the building demands placing fire extinguishers inside. The following are his exact requirements:

  • The fire extinguishers should be placed in (some) chambers, and one chamber may store any number of extinguishers.
  • Each chamber has to be assigned one fire extinguisher, though it may be stored in another chamber.
  • Each fire extinguisher can be assigned to at most different chambers.
  • For each room its assigned extinguisher is within the range of $k$ corridors.

Byteasar has a week spot for lavish palaces, so it is no surprise he has very little money now, right after completion of another splendid palace. Therefore he is interested in the minimum number of fire extinguishers sufficient for satisfying fire marshal's demands.

Input

The first line of the standard input contains three integers $n$, $s$ and $k$ separated by single spaces, $1 ≤ n ≤ 100\,000$, $1 ≤ s ≤ n$, $1 ≤ k ≤ 20$. Each of the following n-1 lines holds two integers separated by a single space. Line no. $i+1$ contains the numbers $1 ≤ x_i < y_i ≤ n$ denoting the corridor connecting chambers no. $x_i$ and $y_i$.

Output

The first and only line of the standard output is to hold one integer - the minimum number of fire extinguishers that have to be installed in palace.

Example

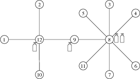
Input

12 3 1
1 12
3 8
7 8
8 9
2 12
10 12
9 12
4 8
5 8
8 11
6 8

Output

4
problem_583_1.gif

Discussions

About Discussions

The discussion section is only for posting: Editorials, General Discussions (problem-solving strategies, alternative approaches), and Off-topic conversations.

This is NOT for reporting issues! If you want to report bugs or errors, please use the Issues section below.

Open Discussions 0
No discussions in this category.

Issues

About Issues

If you find any issues with the problem (statement, scoring, time/memory limits, test cases, etc.), you may submit an issue here. A problem moderator will review your issue.

Guidelines:

  1. This is not a place to publish discussions, editorials, or requests to debug your code. Issues are only visible to you and problem moderators.
  2. Do not submit duplicated issues. Submitting multiple issues may cause your account to be banned.
  3. Issues must be filed in English or Chinese only.
Active Issues 0
No issues in this category.
Closed/Resolved Issues 0
No issues in this category.