QOJ.ac

QOJ

Time Limit: 3 s Memory Limit: 512 MB Total points: 100

#10368. 北校门外的未来

Statistics

如果你不想阅读故事,请直接跳到题意部分。

转眼间,已是三年流转。

夏日法桐的绿荫,代替了秋季的萧索,衬托着 LCR 和神犇成长的背影。

身后的北校门,也不再是当年学生试图摧毁的,束缚自由的枷锁,而成了青春记忆的符号。

又到了神犇和 LCR 相遇的地方 —— 北校门外的树下。这棵神奇的树早已不是 K 项树的形态。每时每刻,它都以新的独特方式演绎着生命。

谁也没有开口,他和她静静地注视着魔法般生长的自然种子。初始时,这棵树只有一个点,LCR 将其标号为 $1$。此后,每过一段时间,就会有一个新节点从原有的某个点出生长出来,LCR 会给它分配一个尚未使用过的不超过 $n$ 的正整数编号。

树中生活着一些小精灵。它们总停留在节点上,如果一个精灵在编号 $u$ 的节点,那么它可以一步跳到任何编号 $v$ 的满足 $u,v$ 之间的简单路径上不存在异于 $u,v$ 的编号大于 $\min(u,v)$ 的点处。

在观察这棵树的过程中,LCR 产生了一些疑问。她想知道,对于一对节点编号 $u,v$,从节点 $u$ 跳到节点 $v$ 最少需要几步。

神犇轻松地解决了这些问题。最终,树渐渐停止了生长,但神犇仍然陶醉其中。

一只飘渺的手搭上了神犇的肩膀。他回过头,看到 LCR 正在微笑。

“亲爱的少年,神犇君。”

“你是否想过,为什么精灵会依照我编号的法则而运动呢?”

神犇一时语塞。瞬间,LCR 的手变得虚幻了起来,如同明灭的火炬。

“你的成长,是这变化世界的一个切面。感谢你与我度过的时光。不要留恋 …… 我的随风飘散,正是与你们同在。”

“再见了,神犇君。”

LCR 消失了,神犇机械地转过身,却发现背后的树也已消失无踪。

“神犇,神犇 ……” 茫然若失的神犇背后传来了渐行渐近的呼叫。神犇转过身,发现机房里的蒟蒻 LCA 正向他跑来。

“又是一年毕业季了呢。学长你还好吗?”

“也许吧。” 神犇望向校门外的树原先的位置,“LCR 走了,但她的背影会吸引着我们的人生。”

LCA 沉默了。他和神犇一同望向树消失的地方,持续片刻。

“所谓中二的幻想,才是我们相对的有限的主观能动性唯一的立场吧,不要给自己设限啊,LCA。我们去追寻她 …… 追寻自然的精灵。也许这就是我们的初心也说不定。”

这次是 LCA 目送神犇的背影渐行渐远了。

“再见了,学长。”

某少女附中,又迎来了新的一年。

那么,你能够回答 LCR 提出的问题吗?


题意

对于一棵树 $T=(V,E)$,$V$ 中每个点有一个互不相同的正整数标号。我们用点 $i$ 表示编号为 $i$ 的点。

定义这棵树的谷图为 $G(T)=(V,E')$。$G(T)$ 是无向简单图。存在边 $(u,v)\in E'$ 当且仅当在 $T$ 中,不存在一个异于 $u,v$ 的点 $x$ 满足 $x$ 在从 $u$ 到 $v$ 的简单路径上且其编号大于 $\min(u,v)$。

有一棵树 $T$,初始时只有一个点,编号为 $1$,接下来有 $q$ 次操作,操作有以下两种:

  • $\texttt{1 u v}$ 表示加入一个编号为 $v$ 的节点并与当前编号为 $u$ 的节点相连(保证任何时刻不会有两个编号相同的节点);
  • $\texttt{2 u v}$ 表示查询 $G(T)$ 中点 $u$ 到 $v$ 的最短路(每条边长度均为 $1$)。

请你回答所有查询。

输入格式

第一行两个整数 $n, q$,表示编号的最大可能值及询问个数。

接下来 $q$ 行每行三个整数 $\texttt{op u v}$,以题目描述中的格式描述一次操作。

输出格式

依次对于每一个 $\texttt{2}$ 类型的操作,输出一行一个整数表示其对应的答案。

样例数据

样例输入

7 10
1 1 2
1 2 3
1 3 5
1 5 6
2 1 6
1 1 4
2 1 6
1 1 7
2 1 6
2 3 6

样例输出

4
3
2
2

样例解释

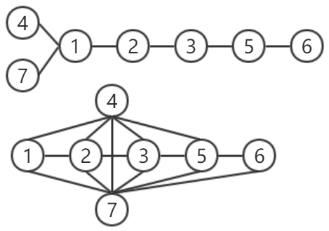
最终的树 $T$ 和 $G(T)$ 如下:

problem_10368_1.png

第一次询问的路径:$1 \rightarrow 2 \rightarrow 3 \rightarrow 5 \rightarrow 6$;

第二次询问的路径:$1 \rightarrow 4 \rightarrow 5 \rightarrow 6$;

第三次询问的路径:$1 \rightarrow 7 \rightarrow 6$;

第四次询问的路径:$3 \rightarrow 5 \rightarrow 6$。

样例输入

10 20
1 1 8
1 8 5
1 5 10
1 8 7
2 7 1
1 7 4
2 7 5
1 7 6
2 7 6
1 6 9
2 4 1
1 9 2
2 8 1
1 9 3
2 3 10
2 6 8
2 4 8
2 3 8
2 3 9
2 8 1

样例输出

2
2
1
3
1
2
2
2
2
1
1

样例输入

10 20
1 1 7
1 7 6
1 1 2
1 6 4
1 2 3
1 3 5
1 5 9
1 9 8
1 8 10
2 7 10
2 8 3
2 9 5
2 1 7
2 2 1
2 9 9
2 2 7
2 4 3
2 5 4
2 9 2
2 1 1

样例输出

2
3
1
1
1
0
1
3
3
2
0

子任务

对于所有数据,$1\le n\le 10^5,1\le q\le 5\times 10^5$。

每个子任务详细的数据限制及约定如下(留空表示和上述所有数据的约定相同):

子任务编号 分数 $n$ $q$ 性质
$1$ $6$ $\le 100$ $\le 200$ $ $
$2$ $10$ $\le 5000$ $\le 10000$
$3$ $12$ $ $
$4$ $15$ $ $ 一、二
$5$ $12$
$6$ $10$ $\le 2 \times 10^5$ 一、三
$7$ $10$
$8$ $10$ $ $
$9$ $15$ $ $

性质一:所有 $\texttt{1}$ 操作(修改)在所有 $\texttt{2}$ 操作(询问)之前。

性质二:任何时刻保证树是一条链。

性质三:最终形成的树在所有 $n$ 个点的有标号无根树中均匀随机,随机数生成器使用梅森旋转算法

注意样例 3 满足性质一、二。

Discussions

About Discussions

The discussion section is only for posting: Editorials, General Discussions (problem-solving strategies, alternative approaches), and Off-topic conversations.

This is NOT for reporting issues! If you want to report bugs or errors, please use the Issues section below.

Open Discussions 0
No discussions in this category.

Issues

About Issues

If you find any issues with the problem (statement, scoring, time/memory limits, test cases, etc.), you may submit an issue here. A problem moderator will review your issue.

Guidelines:

  1. This is not a place to publish discussions, editorials, or requests to debug your code. Issues are only visible to you and problem moderators.
  2. Do not submit duplicated issues. Submitting multiple issues may cause your account to be banned.
  3. Issues must be filed in English or Chinese only.
Active Issues 0
No issues in this category.
Closed/Resolved Issues 0
No issues in this category.